The Daily Insight

Connected.Informed.Engaged.

updates

Is fucose a reducing sugar

Written by Christopher Pierce — 0 Views

In human N-linked glycans, fucose is most commonly linked α-1,6 to the reducing terminal β-N-acetylglucosamine. However, fucose at the non-reducing termini linked α-1,2 to galactose forms the H antigen, the substructure of the A and B blood group antigens.

Is fucose a sugar?

Fucose is an unusual sugar that is present in a variety of glycolipids and glycoproteins produced by mammalian cells.

Is glucose a deoxy sugar?

Introduction to Glycoscience; Synthesis of Carbohydrates Typical examples comprise the 6-deoxy sugars l-fucose (= 6-deoxy-l-galactose; l-Fuc), d-quinovose (= 6-deoxy-d-glucose; d-Qui), and l-rhamnose (= 6-deoxy-l-mannose; l-Rha).

What kind of sugar is galactose?

Galactose is a monosaccharide and has the same chemical formula as glucose, i.e., C6H12O6. It is similar to glucose in its structure, differing only in the position of one hydroxyl group. This difference, however, gives galactose different chemical and biochemical properties to glucose.

What do you mean by deoxy sugars?

Definition. Deoxy sugars are sugars in which one of the hydroxyl (OH) constituents on the carbon cyclic backbone is replaced with hydrogen (H). Deoxyribose (formula C5H10O4) is a deoxy sugar that makes up the sugar–phosphate backbone of DNA.

What foods contain fucose?

The sugar is called L-fucose and can be found in mushrooms, seaweed, seeds, and other foods.

What is fucose transferase?

A fucosyltransferase is an enzyme that transfers an L-fucose sugar from a GDP-fucose (guanosine diphosphate-fucose) donor substrate to an acceptor substrate. … There are various fucosyltransferases in mammals, the vast majority of which, are located in the Golgi apparatus.

What is a ribose sugar?

Ribose is a single-ring pentose [5-Carbon] sugar. The numbering of the carbon atoms runs clockwise, following organic chemistry rules. Note the absence of the hydroxyl (-OH) group on the 2′ carbon in the deoxy-ribose sugar in DNA as compared with the ribose sugar in RNA.

Is galactose a reducing sugar?

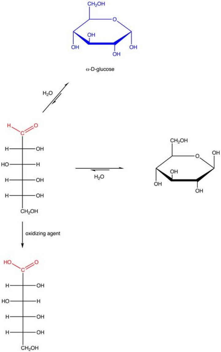
Galactose is classified as a monosaccharide, an aldose, a hexose, and is a reducing sugar.

Why is galactose called galactose?

The etymology is comparable to that of the word lactose in that both contain roots meaning “milk sugar”. Lactose is a disaccharide of galactose plus glucose.

Article first time published on

Why are deoxy sugars non reducing?

Deoxyribose is synthesized through the reduction of ribose. Deoxyribose is derived from the same precursor as ribose being that the reduction of the sugar with the extra hydroxyl group results in the deoxy-sugar, which has its hydroxyl group replaced with a hydrogen atom.

What type of sugar is deoxyribose?

Deoxyribose, or more precisely 2-deoxyribose, is a monosaccharide with idealized formula H−(C=O)−(CH2)−(CHOH)3−H. Its name indicates that it is a deoxy sugar, meaning that it is derived from the sugar ribose by loss of an oxygen atom.

Is Deoxyribose reducing sugar?

Ribose and deoxyribose are classified as monosaccharides, aldoses, pentoses, and are reducing sugars.

Is L Rhamnose a deoxy sugar?

Rhamnose (Rha, Rham) is a naturally occurring deoxy sugar. It can be classified as either a methyl-pentose or a 6-deoxy-hexose.

What is unusual about L fucose?

It is found on N-linked glycans on the mammalian, insect and plant cell surface. … Two structural features distinguish fucose from other six-carbon sugars present in mammals: the lack of a hydroxyl group on the carbon at the 6-position (C-6) (thereby making it a deoxy sugar) and the L-configuration.

Why deoxy sugars are important in nature?

Deoxysugars are important structural components in numerous natural products, including glycoproteins, bacterial endotoxins, and secondary metabolites. … For instance, they are involved with intercellular communications, immunogenic responses to pathogenic bacteria, and the biological activity of many antibiotics.

What is the function of Fucosylation?

Fucosylation, a type of glycosylation, has been studied frequently. It participates in the biosynthesis of blood H antigen and Lewis antigen, leukocyte extravasation mediated by selectin, host-microbe interactions, and modification of signaling (3, 18).

Why is Fucosylation important?

Fucosylation inhibition applications are being explored for a range of clinical application including some associated with sickle cell disease, rheumatoid arthritis, tumor inhibition, and chemotherapy improvements. Fucosylation can help with immune response when a foreign pathogen is introduced in the body.

Is glycan a carbohydrate?

Glycans (carbohydrates, sugars, monosaccharides, oligosaccharides and polysaccharides) are widely distributed in nature, in all living life forms.

How do you prevent fucose?

People who have fructose intolerance should limit high-fructose foods, such as juices, apples, grapes, watermelon, asparagus, peas and zucchini. Some lower fructose foods — such as bananas, blueberries, strawberries, carrots, avocados, green beans and lettuce — may be tolerated in limited quantities with meals.

Does sugar feed melanoma?

Melanoma cells are dependent on glucose to grow and spread, Melbourne researchers have found, paving the way for therapies that can halt cancer growth by blocking its fuel source.

What foods prevent melanoma?

Antioxidants and Melanoma Antioxidants, such as retinol, are important for a healthy immune system. Studies have found that higher intake of retinol-rich foods, such as fish, milk, eggs, dark green leafy vegetables, and orange/yellow fruits and vegetables led to a 20 percent reduced risk of developing melanoma.

What are examples of non-reducing sugars?

  • Sucrose.
  • Trehalose.
  • Raffinose.
  • Stachyose.
  • Verbascose.

Which of the following are reducing sugar?

Galactose, maltose and lactose are reducing sugars.

Which compound is not a reducing sugar?

Hence, sucrose is not a reducing sugar.

Is ribose reducing sugar?

Ribose and deoxyribose are classified as monosaccharides, aldoses, pentoses, and are reducing sugars.

Why is ribose a reducing sugar?

All monosaccharides are reducing sugars because they either have an aldehyde group (if they are aldoses) or can tautomerize in solution to form an aldehyde group (if they are ketoses). This includes common monosaccharides like galactose, glucose, glyceraldehyde, fructose, ribose, and xylose.

Is ribose a simple sugar?

Ribose is a simple sugar and carbohydrate with molecular formula C5H10O5 and the linear-form composition H−(C=O)−(CHOH)4−H.

Is galactose called brain sugar?

The galactose required by the human body is derived by the metabolic conversion of D-glucose to D-galactose. It is a chief component of the glycolipids that takes place in the brain and the myelin sheath of nerve cells. For this reason it is also known as brain sugar. -Galactose is an optical isomer of glucose.

Is galactose a simple sugar?

Monosaccharides are comprised of a single simple sugar unit, glucose, fructose, or galactose, and they cannot be broken down into simple sugar units. These three monosaccharides are combined in various ways to make more complex carbohydrates. Disaccharides are comprised of two monosaccharides bonded together.

What is difference between glucose and galactose?

Galactose is the isomer of glucose. They differ only in the organization of their atoms. Glucose and galactose are stereoisomers of each other. The main structural difference in between galactose and glucose is the orientation of the hydroxyl group (OH) at carbon 4.